Une équation est, en mathématiques, une relation (en général une égalité) contenant une ou plusieurs variables.
Résoudre l’équation consiste à déterminer les valeurs que peut prendre la variable pour rendre l’égalité vraie.
La variable est aussi appelée inconnue et les valeurs pour lesquelles l’égalité est vérifiée solutions.
Note : la relation peut être aussi une inégalité.
Exemple :
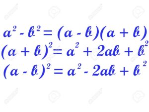
Rappels fondamentaux :
Les séries d’exercices suivants sont fondamentales pour bien maitriser la montée en puissance des mathématiques.
Ces travaux pratiques qui comptent 102 exercices, sont accessibles sur l’excellent site « Comprendre Les Maths ».
Les équations et inéquations N1: [34] 0/12 | [35] 0/10 |
Les équations et inéquations N2 :[24] 0/8 | [25] 0/11 | [26] 0/10 |
Notes importantes :
Pour garantir les meilleures expériences, nous utilisons des technologies telles que les cookies pour stocker, ou bien accéder aux informations des appareils. Le fait de consentir à ces technologies nous permettra de traiter des données telles que le comportement de navigation ou les ID uniques sur ce site. Le fait de ne pas consentir ou de retirer son consentement peut avoir un effet négatif sur certaines caractéristiques et fonctions.
La référence à des documents des sites « apprendre la philosophie » et « philo17 », est autorisée par l'autrice de ces sites.